Respuestas de la Ciencia

La divulgación de la Ciencia nos ofrece la posibilidad de verla desde otro punto de vista. Los profesores de la UNED hablan sobre temas curiosos, incluso raros, de múltiples áreas de la ciencia.

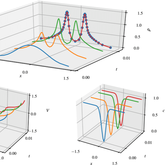
Respuestas de la Ciencia Respuestas de la Ciencia – ¿Qué es la quimiotaxis? – 10/11/25

Es el movimiento de un organismo en respuesta a un agente químico. Puede ser positiva, si el organismo se mueve hacia la sustancia, o negativa, si se aleja. Es un fenómeno clave en la respuesta inmunitaria, en el estudio del cáncer o en la fijación de nitrógeno en el suelo. El modelo más generalizado de procesos quimiotácticos es el de Keller-Segel, un sistema de ecuaciones que relacionan la densidad de una especie biológica con la concentración de una sustancia química. Incluye términos de dispersión homogénea, como la difusión del calor, y términos que miden cómo cambia la concentración para adecuar el movimiento hacia la sustancia.

Antonio Manuel Vargas Ureña, profesor de Matemáticas en la UNED.

Deja una respuesta

Tu dirección de correo electrónico no será publicada. Los campos obligatorios están marcados con *

Este sitio usa Akismet para reducir el spam. Aprende cómo se procesan los datos de tus comentarios.